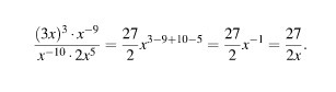
Дан такой пример с решением (см приложение). Почему Х переходит вниз с изменением знака?
Приложения:

Ответы
Ответ дал:
0
существует правило по которому можно так записать
х^-1=1/х
х^-1=1/х
Вас заинтересует
2 года назад
2 года назад
7 лет назад
7 лет назад
9 лет назад
10 лет назад
10 лет назад