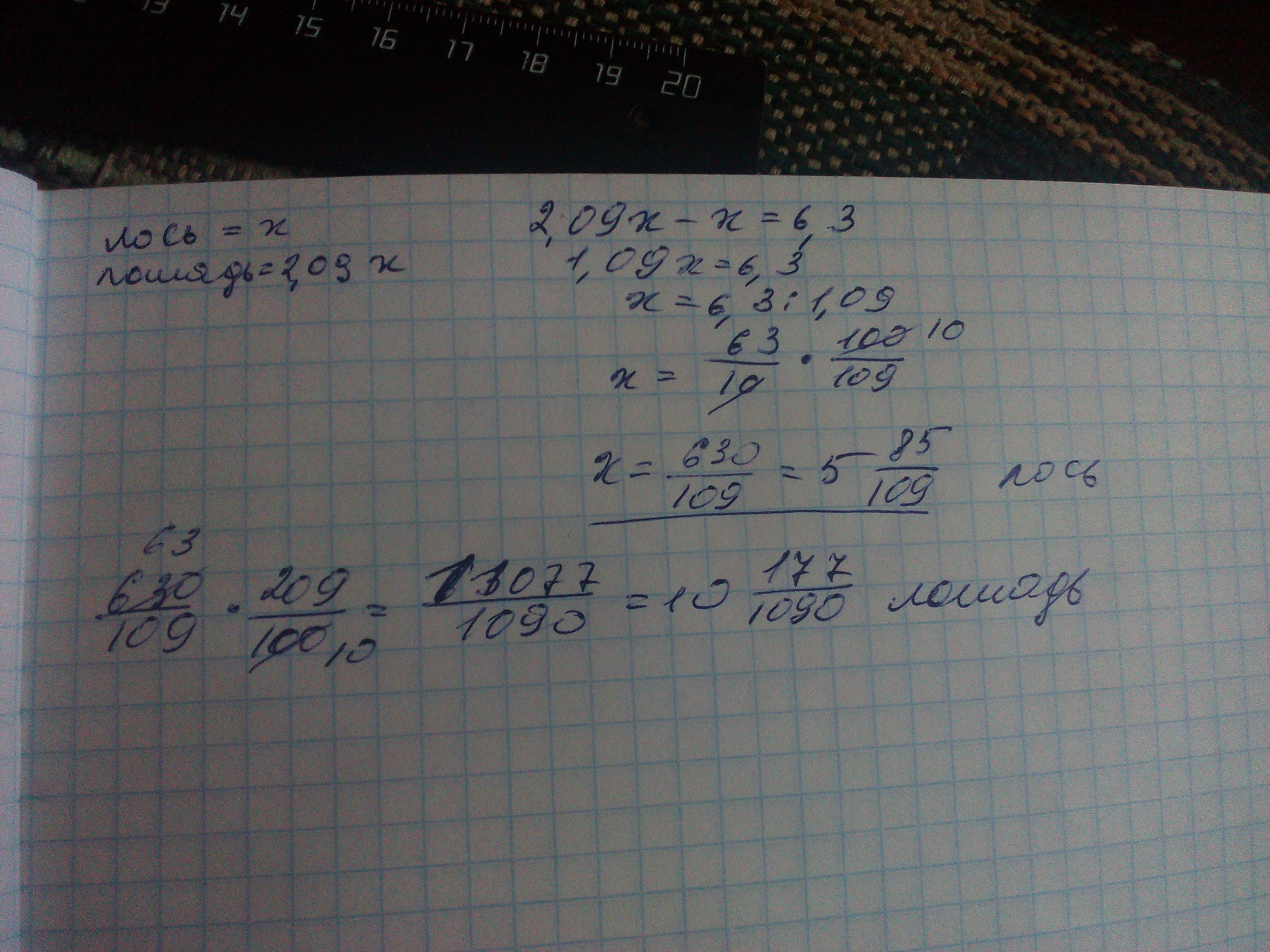
Скорость лошади в 2,09 раза больше скорости лося. Какова скорость лошади каждого животного , если скорость лося на 6,3 кмч меньше скорости лошади?
Ответы
Ответ дал:
0
очень странная задача. ответы огромные дроби
Приложения:

Вас заинтересует
2 года назад
2 года назад
7 лет назад
10 лет назад
10 лет назад