• Предмет: Алгебра
  • Автор: drondok
  • Вопрос задан 10 лет назад

Решите пожалуйста!
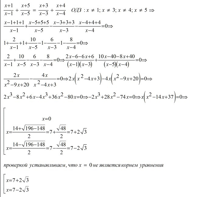
(x+1/x-1)+(x+5/x-5)=(x+3/x-3)+(x+4/x-4)

Ответы

Ответ дал: Аноним
0
интересное уравнение
решение - во вложении
Приложения:
Вас заинтересует