Упростите вырожения
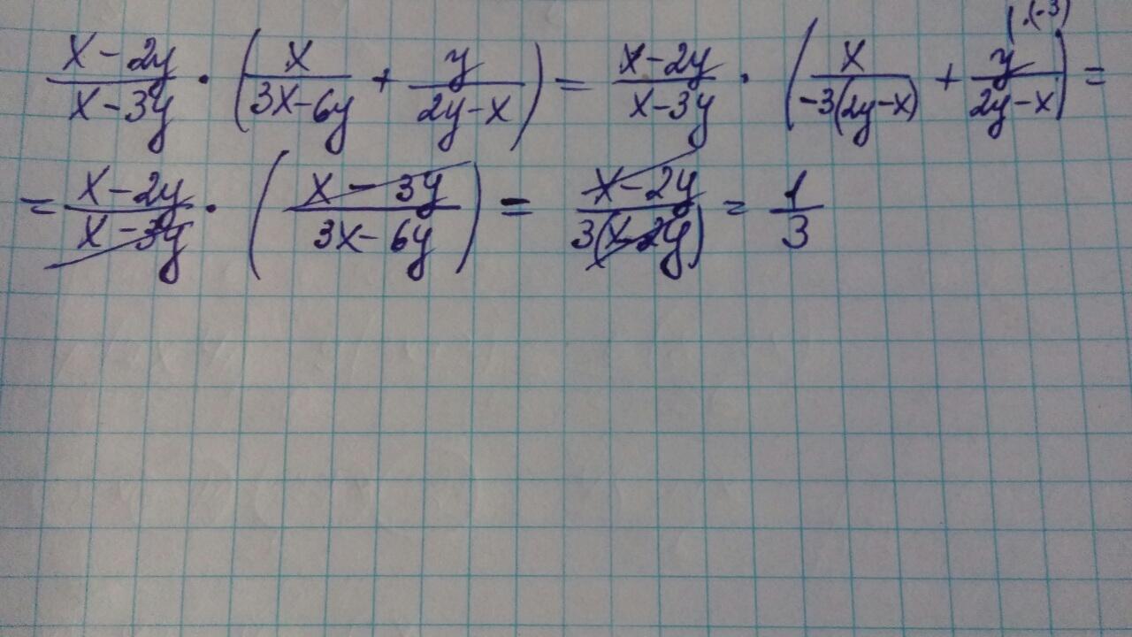
X-2y/x-3y умножить (x/3x-6y плюс y/2y-x)=
Запешите ответ и решение пожалуйсто я жду
Ответы
Ответ дал:
0
Смотри решение на фото
Приложения:

Вас заинтересует
2 года назад
2 года назад
7 лет назад
7 лет назад
9 лет назад
9 лет назад
10 лет назад