Ответы
Ответ дал:
0
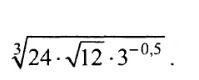
1) 3^(-0.5) = 1/3^(0.5)=1/sqrt(3)
2) sqrt(12)/sqrt(3)=sqrt(4)=2
3)∛(24*2)=∛(48) = 2∛6
2) sqrt(12)/sqrt(3)=sqrt(4)=2
3)∛(24*2)=∛(48) = 2∛6
Вас заинтересует
2 года назад
2 года назад
8 лет назад
10 лет назад
10 лет назад
10 лет назад
10 лет назад