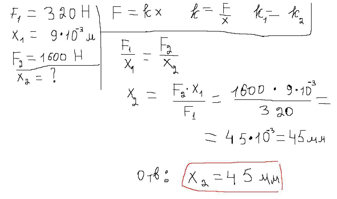
Под действием силы 320 Н пружина амортизатора сжалась на 9 мм. На сколько мм сожмётся пружина при нагрузке 1,60 кН? (записать дано, формулы, расчёты)
Ответы
Ответ дал:
0
вот полное решение задания
Приложения:

Вас заинтересует
2 года назад
2 года назад
7 лет назад
7 лет назад
9 лет назад
10 лет назад