• Предмет: Физика
  • Автор: gggg000123
  • Вопрос задан 10 лет назад

Пожалуйста, помогите решить! Очень нужно!

Приложения:

Ответы

Ответ дал: Kalimbet
0
вот решение: там где (R общ) - это общее сопротивление
Приложения:
Ответ дал: Kalimbet
0
жаль. либо в начале книги либо в конце обычно таблицы всякие)) можно только площадь найти, а для сопротивления нужно УДЕЛЬНОЕ СОПРОТИВЛЕНИЕ
Ответ дал: gggg000123
0
вот нашел удельное сопротивление меди
Ответ дал: gggg000123
0
0,018 Ом·мм²/м
Ответ дал: Kalimbet
0
ох как, спс, ща
Ответ дал: Kalimbet
0
вот добавил еще 1
Ответ дал: ЮрВас
0

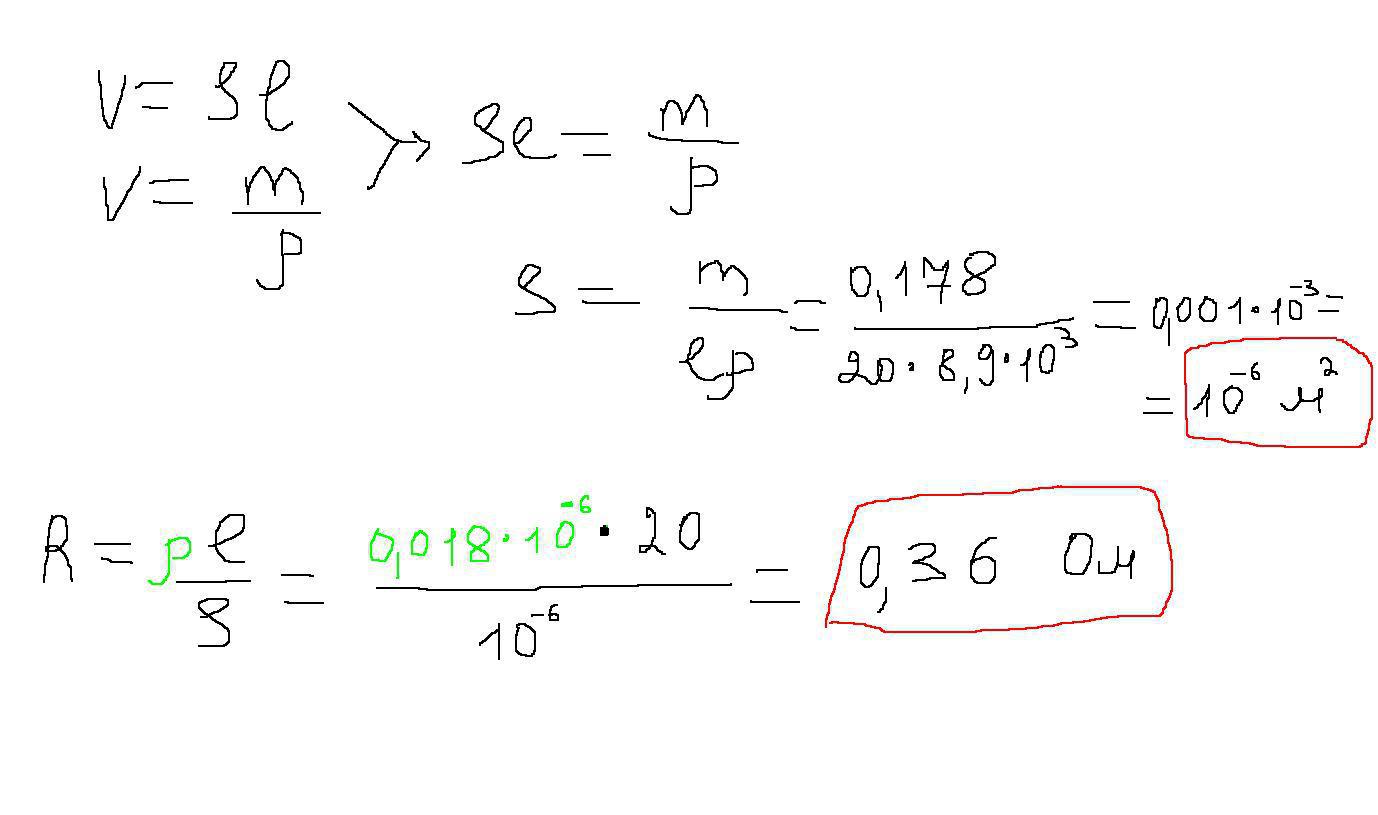
1 ρ=m/V =>      V=m/ρ=0,178/8900=2*10^-5 (м куб)=20 мм куб.
V=S*l (эль).       S=V/l=20 мм куб/20000 мм=0,001 мм квадр.
R= ρℓ/s    =0.017*20/0.001=0.34/0.001=340 Ом

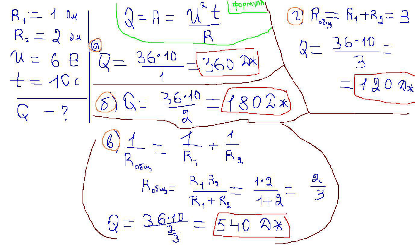
2 Q1=U^2t/R1     Q1=36*10/1=360
    Q2=36*10/2=180
Q3=36*10/3=120
Q4=36*10/(2/3)=36*10*(3/2)=360*3/2=540
Дж

Приложения:
Ответ дал: ЮрВас
0
Проверь, может я ошибся.
Ответ дал: ЮрВас
0
Я взял ро 0,017, надо вроде 0,018.
Ответ дал: Kalimbet
0
там в даже если взять 0,017 то должно получится 0,34
Ответ дал: ЮрВас
0
Была ошибка: 1 ρ=m/V => V=m/ρ=0,178/8900=2*10^-5 (м куб)=20 000 мм куб.
V=S*l (эль). S=V/l=20 000 мм куб/20000 мм=1 мм квадр.
R= ρℓ/s =0.018*20/1=0.38/0.001=3,6 Ом
Ответ дал: ЮрВас
0
У меня опять ошибка., У тебя правильно.
Вас заинтересует