• Предмет: Математика
  • Автор: Kristina9919
  • Вопрос задан 10 лет назад

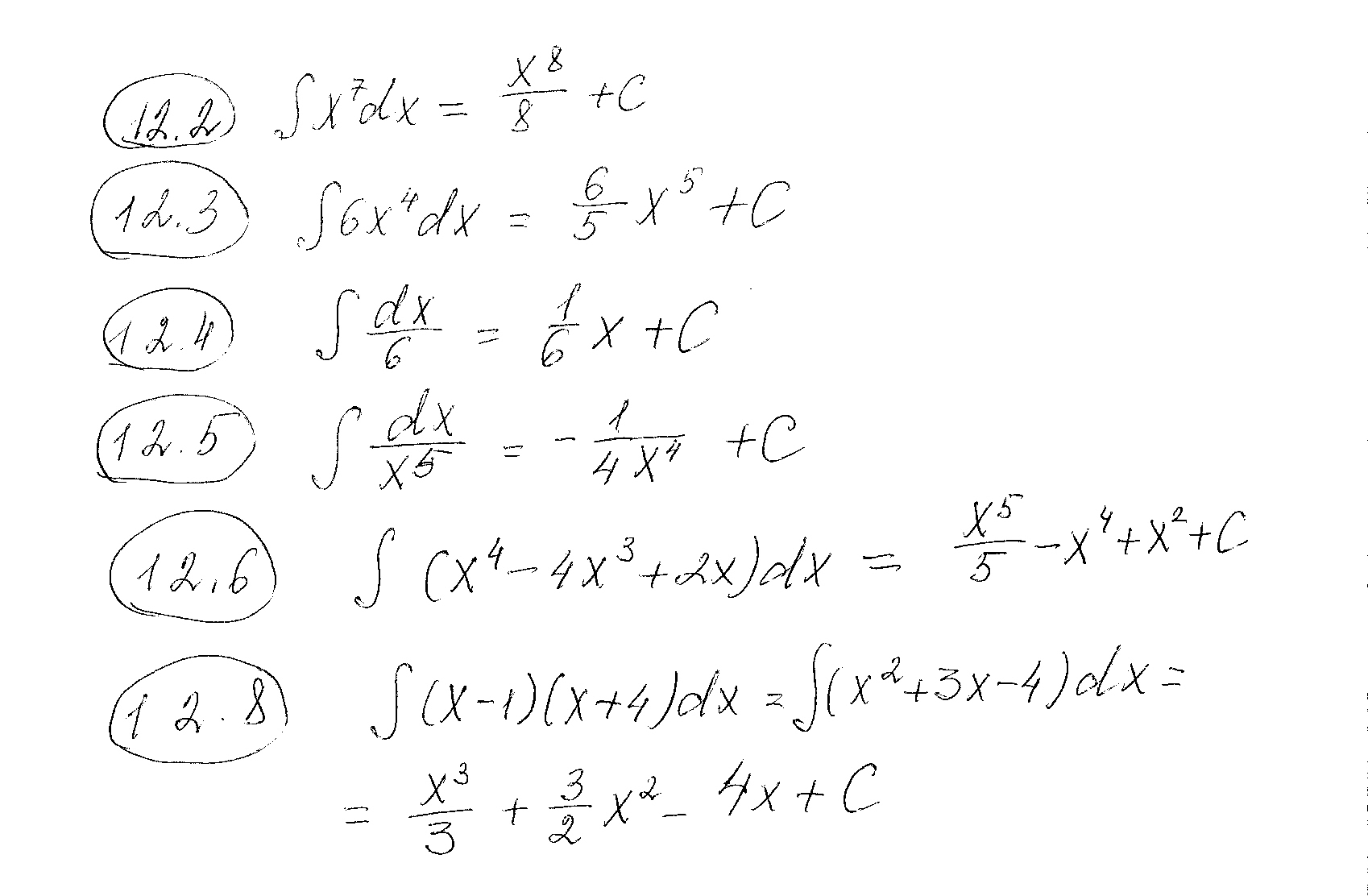
Помогите решить с 12.2-12.7 (желательно с решением)

Приложения:

Ответы

Ответ дал: ИННАХГ46
0
В номерах 12.7 и 12.9 не видно условий. Решения остальных я вам высылаю
Приложения:
Ответ дал: Kristina9919
0
Огромное спасибо:)
Вас заинтересует