• Предмет: Алгебра
  • Автор: allanesvito
  • Вопрос задан 10 лет назад

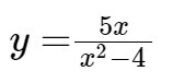
Найти область определения функции

Приложения:

Ответы

Ответ дал: Tanya11062000
0
x^2-4 не равно 0
x^2 не равно 4
x не равно -2 и 2
X э (-бесконечность,-2) V (2, +бесконечность)
Ответ дал: sirca
0
y=  frac{5x}{x^2-4} \x^2-4 neq 0\ x^{2}  neq 4\x_1 neq 2\x_2 neq -2
Вас заинтересует