• Предмет: Геометрия
  • Автор: the1ucker
  • Вопрос задан 10 лет назад

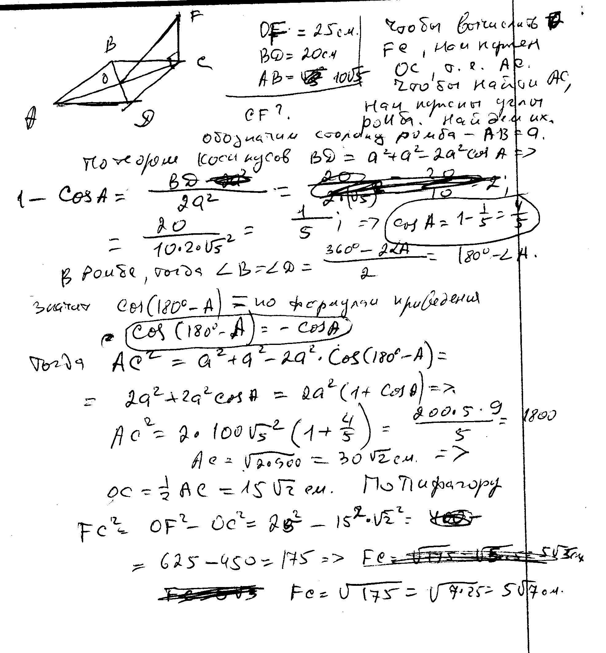
Через вершину C ромба ABCD к его плоскости проведен перпендикуляр CF. Точка F отдалена от диагонали BD на 25 см. Найдите расстояния от точки F к площади ромба, если BD = 20 см, AB = 10 sqrt{5} см.
Нужен не только ответ, но и решение

Ответы

Ответ дал: ужнеужели
0
решение в скане.........
Приложения:
Вас заинтересует