• Предмет: Математика
  • Автор: Dallasonn
  • Вопрос задан 10 лет назад

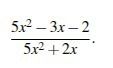
Сократите дробь
Плиз поомгите

Приложения:

Ответы

Ответ дал: Sara265
0
После сократения =-3x:-2x
Ответ дал: grachev76
0
у меня получилось вот так
Приложения:
Вас заинтересует