Ответы
Ответ дал:
0
треугольник АВС, угол С = 90 гр.
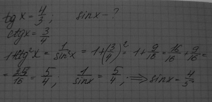
тангенс Х (отношение противолежащего катета к прилежащему) = ВС/АС = 4/3
синус Х (отношение противолежащего катета к гипотенузе) = ВС/АВ
АВ найдем по теореме Пифагора: АВ (в квадрате) = ВС (в квадрате) + АС (в квадрате) = 25. АВ = 5
Значит, синус Х = 4/5
тангенс Х (отношение противолежащего катета к прилежащему) = ВС/АС = 4/3
синус Х (отношение противолежащего катета к гипотенузе) = ВС/АВ
АВ найдем по теореме Пифагора: АВ (в квадрате) = ВС (в квадрате) + АС (в квадрате) = 25. АВ = 5
Значит, синус Х = 4/5
Ответ дал:
0
.............................................................................
Приложения:
Ответ дал:
0
Да
Вас заинтересует
2 года назад
2 года назад
8 лет назад
10 лет назад
10 лет назад
10 лет назад