• Предмет: Математика
  • Автор: айка19876543
  • Вопрос задан 10 лет назад

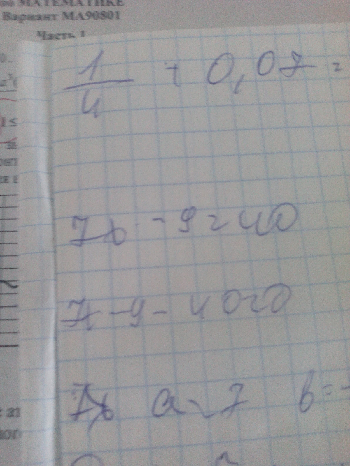
как решить )помогите

Приложения:

Ответы

Ответ дал: Фирузе1998
0
_______________________________☺
Приложения:
Ответ дал: Фирузе1998
0
ОЙ"
Ответ дал: Фирузе1998
0
Удалите мой ответ! Я нормально ответить хочу!
Ответ дал: Фирузе1998
0
А, все нормально)
Ответ дал: Фирузе1998
0
Фотографию прост не поставила, счас поставила)
Ответ дал: artkolp
0
1. 1/4 + 0,07 = 0,25 + 0,07 = 0,32
2. 7х-9 = 40
7х = 49
х = 7
Приложения:
Вас заинтересует