• Предмет: Математика
  • Автор: zairaalieva
  • Вопрос задан 10 лет назад

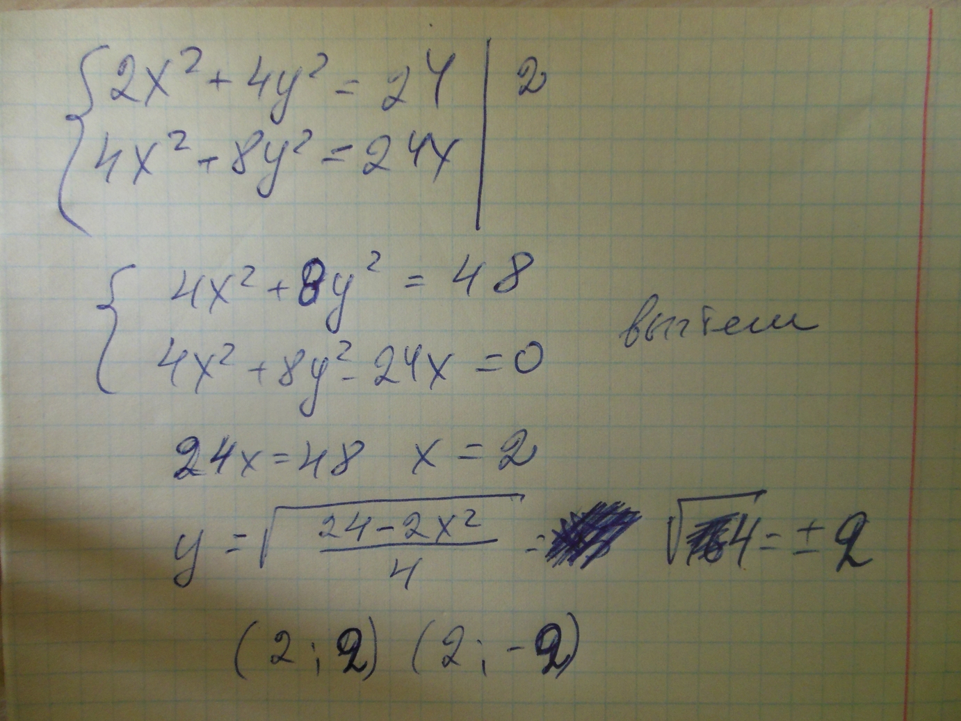
Решите систему уравнений 2х^2+4у^2 = 24,
4x^2+8y^2 = 24x

Ответы

Ответ дал: miron2077
0
решение в приложении
Приложения:
Ответ дал: zairaalieva
0
Спасибо)
Ответ дал: філолог
0
не верно первый раз решила, предыдущий автор правильно все сделал.
Приложения:
Ответ дал: zairaalieva
0
Спасибо)
Вас заинтересует