• Предмет: Геометрия
  • Автор: kamron971
  • Вопрос задан 10 лет назад

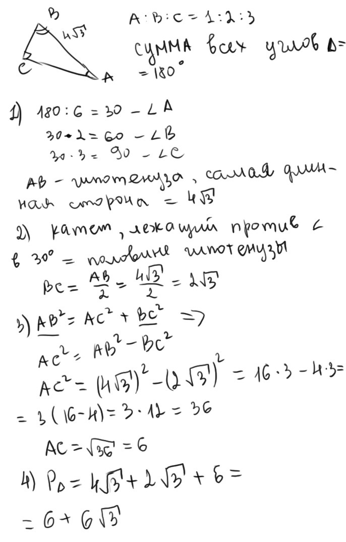
Покажите как Решить,найти периметр треугольника ,если его углы относятся как 1:2:3.Длина большей стороны 4корень из 3 (8бал)

Ответы

Ответ дал: JuliaRichie
0
решение на картинке...........
Приложения:
Ответ дал: kamron971
0
Огромнейшее СПАСИБО!!!!!!!!!!!!!!!
Вас заинтересует