Высота BH ромба ABCD делит его сторону AD на отрезки AH = 24 и HD = 2. как найти отсюда h? объяснить откуда какое число берется
Ответы
Ответ дал:
0
1. Т.к ABCD- ромб
AB=BC=CD=DA=24+50=74
2.Рассмотрим треугольник ABH
Он прямоугольный
Найдем сторону BH по теореме Пифагора
BH^2=AB^2-AH^2 BH=корень кв из ( 74^2-24^2) = корень кв из ( 5476-576)= корень кв из (4900) = 70
3. S=AB*BH=70*74=5180
Ответ: S=5180
Удачи!
AB=BC=CD=DA=24+50=74
2.Рассмотрим треугольник ABH
Он прямоугольный
Найдем сторону BH по теореме Пифагора
BH^2=AB^2-AH^2 BH=корень кв из ( 74^2-24^2) = корень кв из ( 5476-576)= корень кв из (4900) = 70
3. S=AB*BH=70*74=5180
Ответ: S=5180
Удачи!
Ответ дал:
0
данные не совпадают
Ответ дал:
0
Если ты сверяешься с учебником,то уж прости
Ответ дал:
0
Там не всегда бывает правильно!
Ответ дал:
0
не с учебником
Ответ дал:
0
со своими знаниями и с конечным результатом на сайте решу ОГЭ
Ответ дал:
0
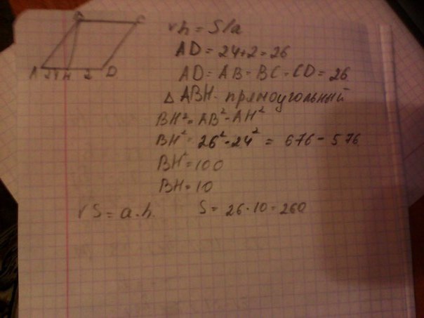
Возможно так, по условию.
Приложения:

Вас заинтересует
2 года назад
2 года назад
7 лет назад
9 лет назад
9 лет назад
10 лет назад