• Предмет: Математика
  • Автор: Decoration
  • Вопрос задан 10 лет назад

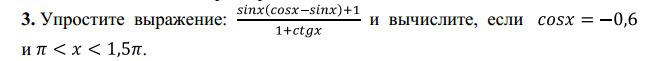
решите
буду благодарна !!

Приложения:

Ответы

Ответ дал: shevtsovavalia
0
π<x<1,5π=III четверть⇒sinx<0
1)sin²x=1-0,36=0,64⇒sinx=-0,8
2)tgx=-0,8/(-0,6)=4/3=1 1/3
(-0,8(-0,6+0,8)+1)/(1+1 1/3)=(-0,8*0,2+1)/ 7/3=(-0,16+1)*3/7=(0,84*3)/7=3*0,12=0,36
Ответ: 0,36


Ответ дал: ИННАХГ46
0
В решении Shetvsovavalia допущена ошибка вместо ctgx взяли значение tgx
Ответ дал: ИННАХГ46
0
 frac{sin(cosx-sinx)+1}{1+ctgx} = frac{sinxcosx- sin^{2}x+1 }{1+ frac{cosx}{sinx} } = frac{sinxcosx+ cos^{2}x }{ frac{sinx+cosx}{sinx} } = frac{cosx(sinx+cosx)sinx}{sinx+cosx} =sinxcosx
если cosx= -0,6, то sinx= - 0,8 значит значение выражения
sinxcosx = 0,48

Ответ дал: Indecastle
0
опередили)
Вас заинтересует