• Предмет: Алгебра
  • Автор: 2002Boyv2002
  • Вопрос задан 10 лет назад

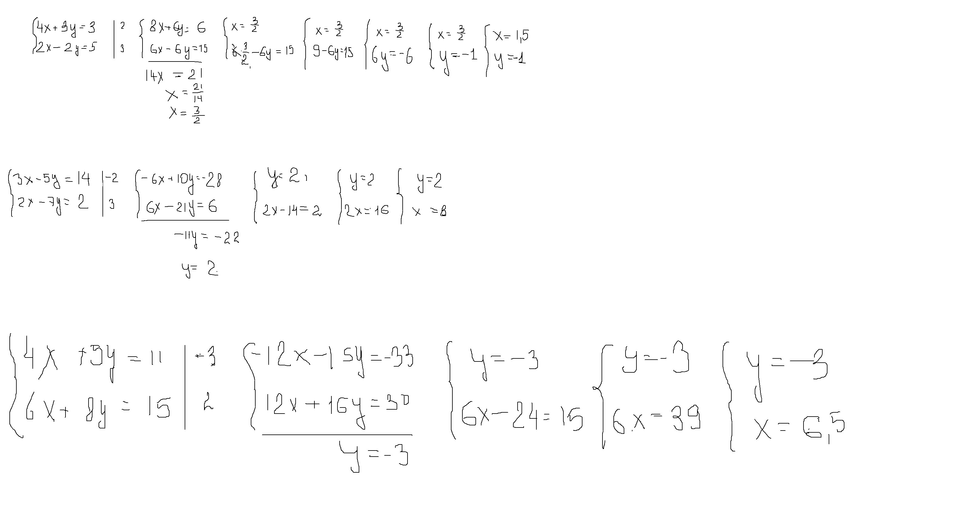
Линейные уравнения 7 класс

Приложения:

Ответы

Ответ дал: Klepa2014
0
Все примеры делала методом сложения. Можно было и подстановкой, но это более заморочено
Приложения:
Ответ дал: ireena
0
решение в приложенном файле
Приложения:
Вас заинтересует