Ответы
Ответ дал:
0
......................
Приложения:

Ответ дал:
0
межно еще 9/4 в десятичную дробь
Ответ дал:
0
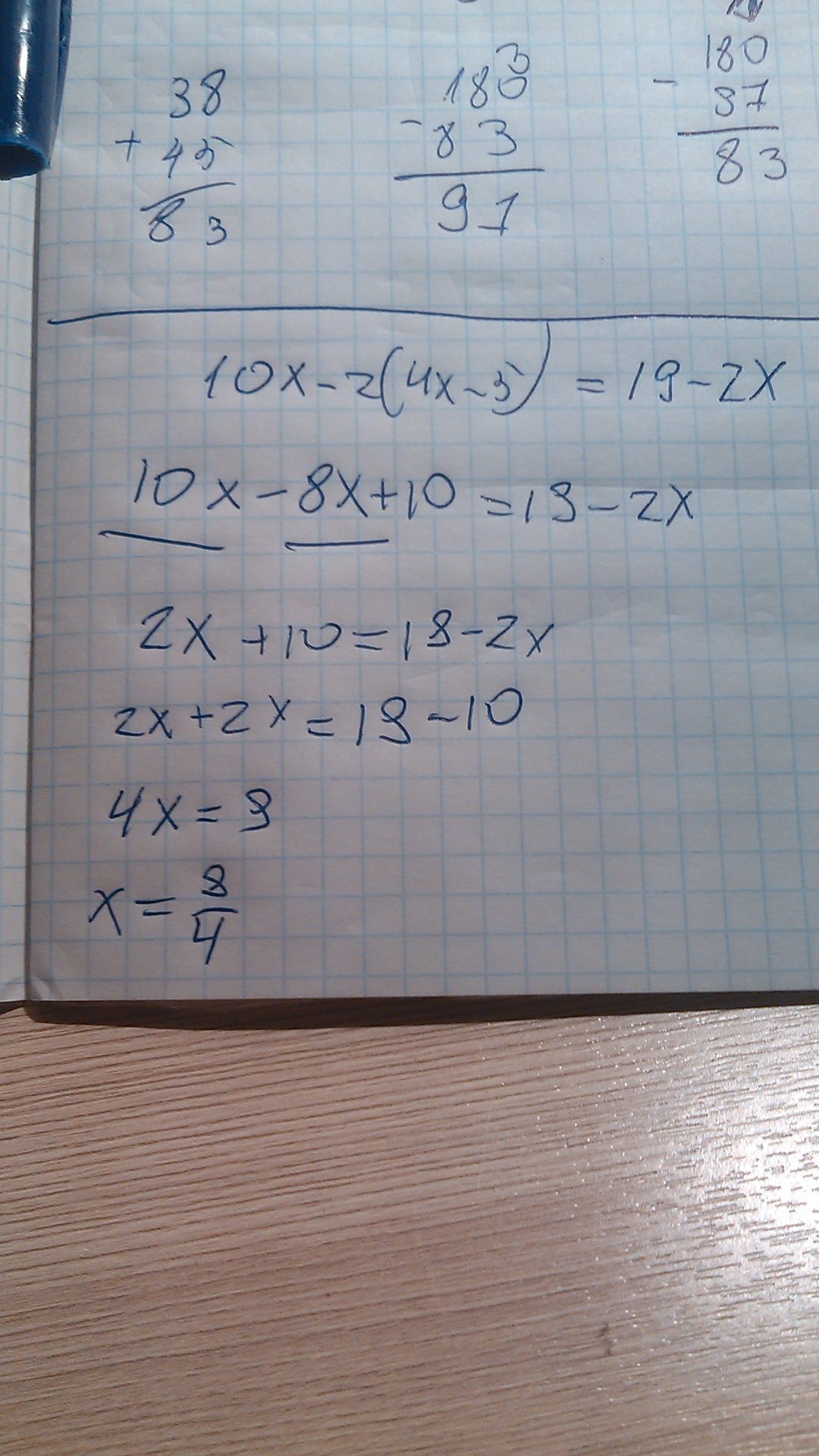
10х-8х+10=19-2х
10х-8х+2х=19-10
4х=9
х=9:4
х=2.25
Приложения:

Вас заинтересует
2 года назад
2 года назад
9 лет назад
9 лет назад
10 лет назад