Упростите выражение, распишите подробно)
И объясните как возводить дробь в отрицательную степень, например 1/3 в минус второй степени?
Приложения:

Ответы
Ответ дал:
0
(1/3)^-2 =(3/1)^2 =3^2 =9
x^-1 =1/x^1,
1/x^-1 =x^1
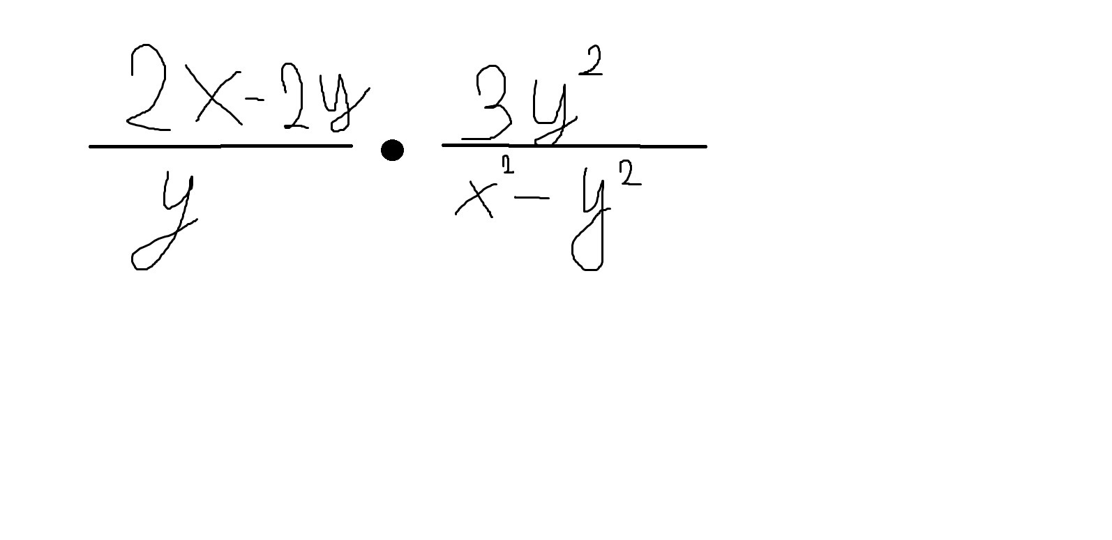
=2(x -y)*3y^2 /y(x -y)(x+y) =6y /(x+y)
ответ: 6y/(x+y)
значок ^ обозначает в степени
x^-1 =1/x^1,
1/x^-1 =x^1
=2(x -y)*3y^2 /y(x -y)(x+y) =6y /(x+y)
ответ: 6y/(x+y)
значок ^ обозначает в степени
Вас заинтересует
2 года назад
2 года назад
7 лет назад
7 лет назад
9 лет назад
10 лет назад