• Предмет: Алгебра
  • Автор: 17Rushan
  • Вопрос задан 10 лет назад

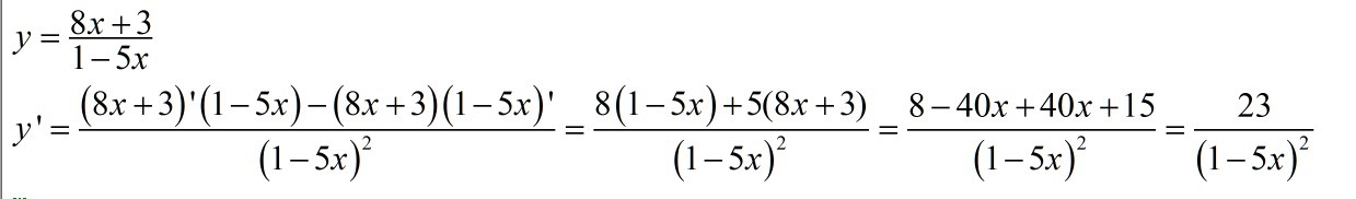
Найти значение производной функции.
f(x)=(8x+3)÷(1-5x)

Ответы

Ответ дал: Аноним
0
решение смотри во вложении
Приложения:
Вас заинтересует