• Предмет: Геометрия
  • Автор: nikanova283
  • Вопрос задан 10 лет назад

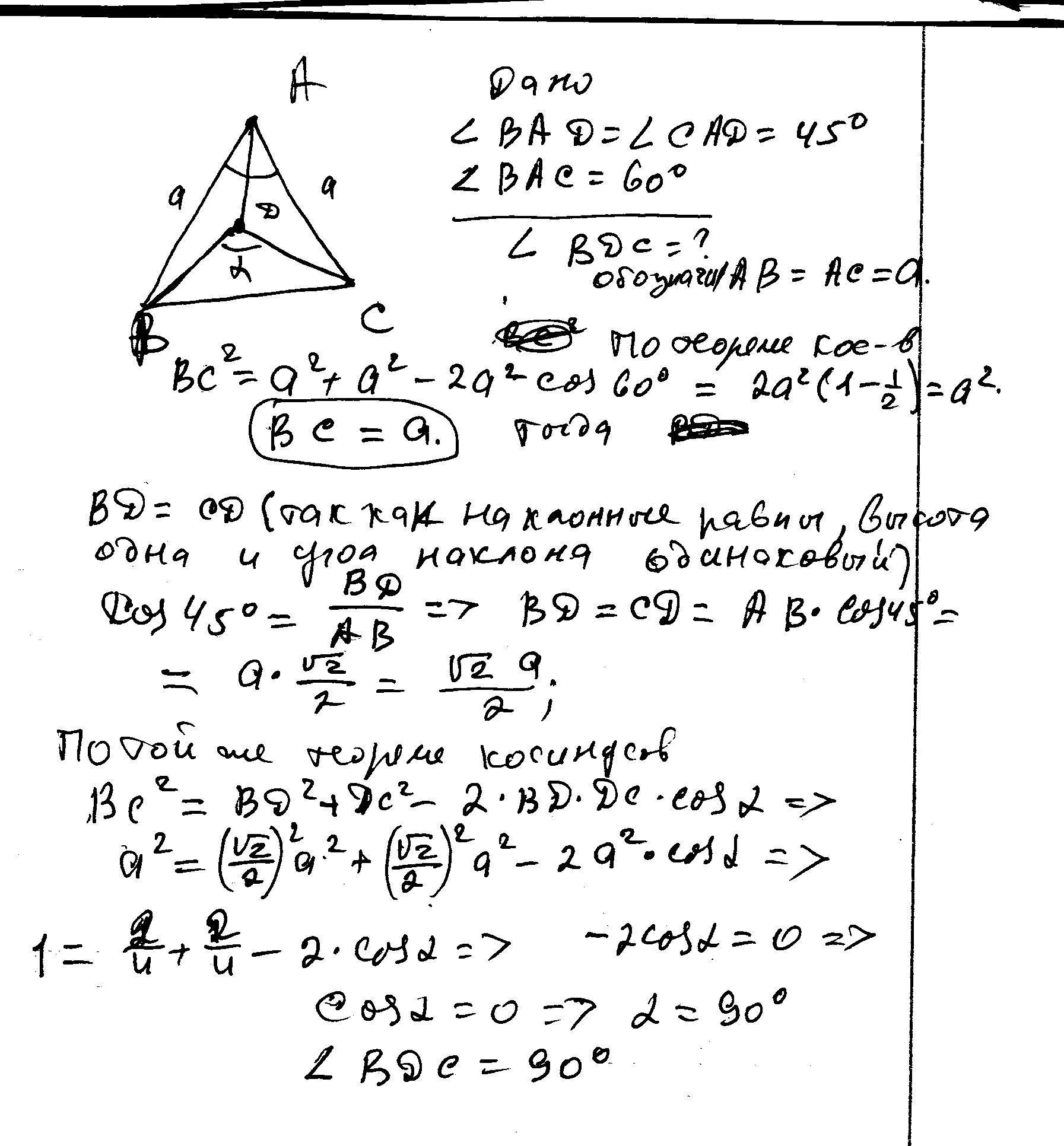
С одной точки к плоскости проведено две ровные наклонные(похилые), которые образуют с перпендикуляром углы по 45 градусов. Найдите угол между проекциями наклонных на эту плоскость, если наклонные образуют угол 60 градусов между собой.

Ответы

Ответ дал: ужнеужели
0
решение в скане..........
Приложения:
Ответ дал: SergFlint
0
Решение в приложении.
Приложения:
Вас заинтересует