• Предмет: Математика
  • Автор: Kinao
  • Вопрос задан 10 лет назад

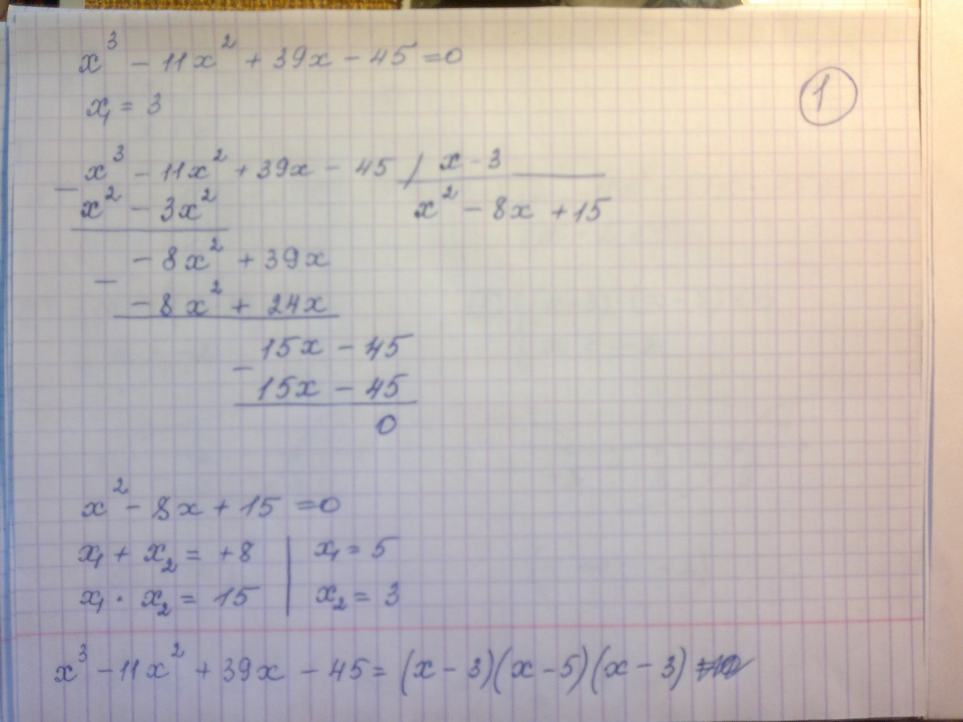
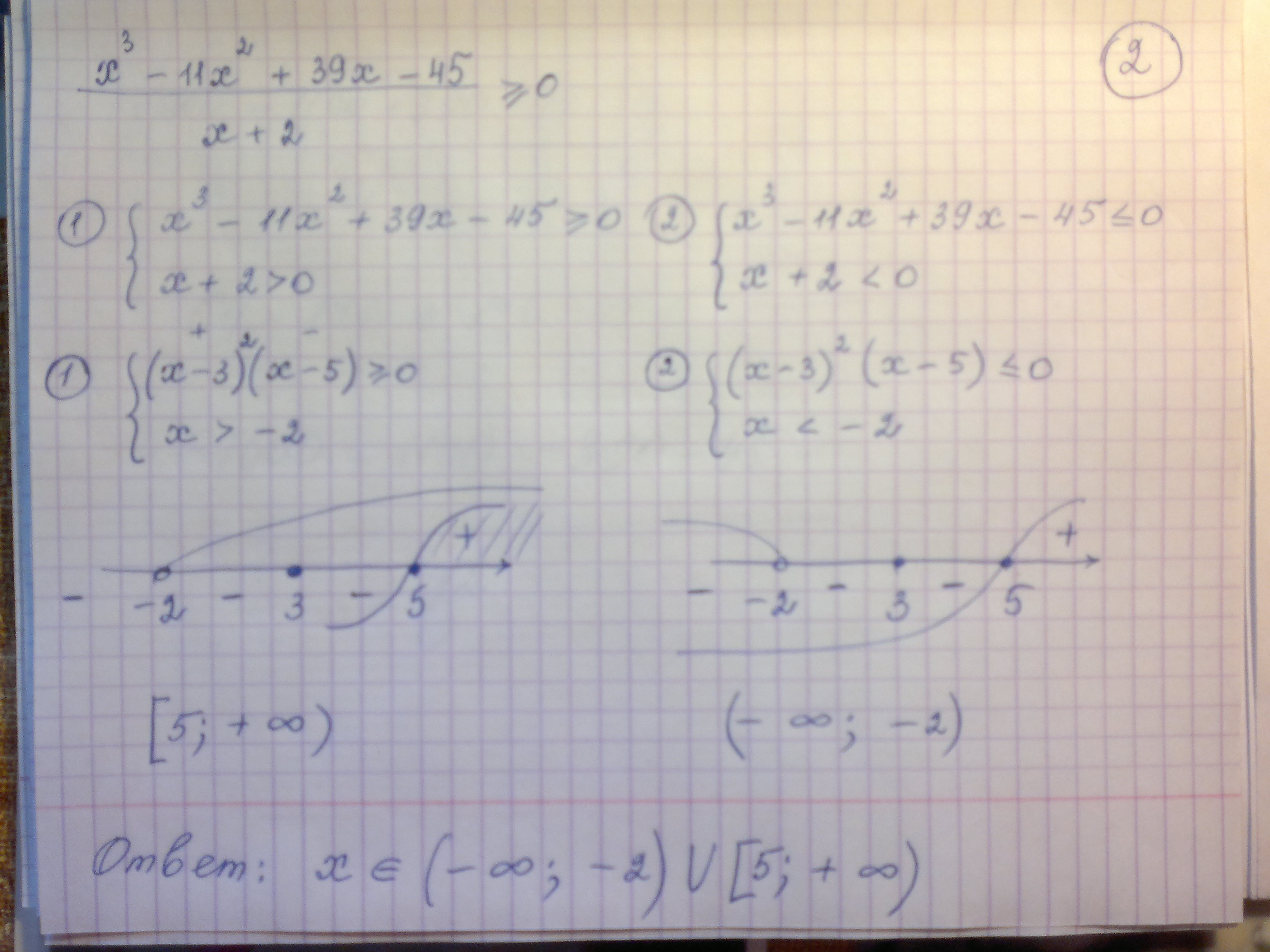
Решите неравенство пожалуйста:
x³-11x²+39x-45
⁻⁻⁻⁻⁻⁻⁻⁻⁻⁻⁻⁻⁻⁻⁻⁻ ≥0
x+2

Ответы

Ответ дал: ytekjdbvsq
0
Пишите, если что не так
Приложения:
Вас заинтересует