Ответы
Ответ дал:
0
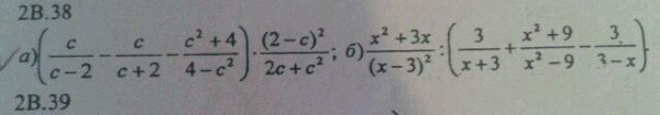
a
1)c/(c-2)+c/(c+2)+(c²+4)/[(c-2)(c+2)]=(c²+2c-c²+2c+c²+4)/[(c-2)(c+2)]=
=(c²+4c+4)/[(c-2)(c+2)]=(c+2)²/[(c-2)(c+2)]=(c+2)/(c-2)
2)(c+2)/(c-2)*(c-2)²/[c(c+2)]=(c-2)/c
b
1)3/(x+3)+(x²9)/[(x-3)(x+3)]+3/(x-3)=(3x-9+x²+9+3x+9)/[(x-3)(x+3)]=
=(x²+6x+9)/[(x-3)(x+3)]=(x+3)²/[(x-3)(x+3)]=(x+3)/(x-3)
2)x(x+3)/(x-3)²*(x+3)/(x-3)=x/(x-3)
1)c/(c-2)+c/(c+2)+(c²+4)/[(c-2)(c+2)]=(c²+2c-c²+2c+c²+4)/[(c-2)(c+2)]=
=(c²+4c+4)/[(c-2)(c+2)]=(c+2)²/[(c-2)(c+2)]=(c+2)/(c-2)
2)(c+2)/(c-2)*(c-2)²/[c(c+2)]=(c-2)/c
b
1)3/(x+3)+(x²9)/[(x-3)(x+3)]+3/(x-3)=(3x-9+x²+9+3x+9)/[(x-3)(x+3)]=
=(x²+6x+9)/[(x-3)(x+3)]=(x+3)²/[(x-3)(x+3)]=(x+3)/(x-3)
2)x(x+3)/(x-3)²*(x+3)/(x-3)=x/(x-3)
Вас заинтересует
3 года назад
3 года назад
8 лет назад
8 лет назад
10 лет назад
10 лет назад