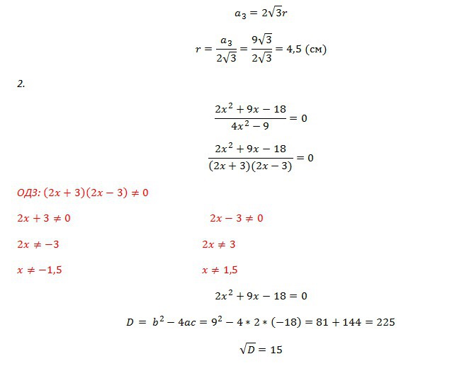
1.Найдите радиус круга,описанного вокруг правильного треугольника со стороной 9√3
2.решительно уравнение:
2х²+9х-18
————— =0
4х²-9
Ответы
Ответ дал:
0
Кажется так, но на счет второго уверенности нет
Приложения:


Вас заинтересует
2 года назад
2 года назад
7 лет назад
9 лет назад
10 лет назад
10 лет назад