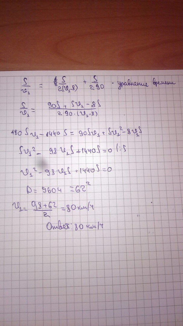
Из А в B одновременно выехали два автомобилиста. Первый проехал с постоянной скоростью весь путь. Второй проехал первую половину пути со скоростью, меньшей скорости первого автомобилиста на 8 км/ч, а вторую половину пути проехал со скоростью 90 км/ч, в результате чего прибыл в B одновременно с первым автомобилистом. Найдите скорость первого автомобилиста, если известно, что она больше 75 км/ч.
Ответы
Ответ дал:
0
Я составил уравнение, где правая часть время 2 автомобиля, а левая первого.Если что-то не понятно спрашивай.
Приложения:

Вас заинтересует
2 года назад
7 лет назад
9 лет назад
10 лет назад