Ответы
Ответ дал:
0
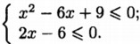
вверху: (х-3)²≤0
х может быть равным только 3, при котором значение выражения равно нулю(квадрат действительного числа не может быть менее 0)
проверим, подходит ли х=3 ко второму уравнению системы. 6-6=0. Поэтому ответ следующий:
х = 3
х может быть равным только 3, при котором значение выражения равно нулю(квадрат действительного числа не может быть менее 0)
проверим, подходит ли х=3 ко второму уравнению системы. 6-6=0. Поэтому ответ следующий:
х = 3
Ответ дал:
0
А дальше как, подскажите...
Ответ дал:
0
все решено
Ответ дал:
0
ух- ты
Вас заинтересует
2 года назад
2 года назад
7 лет назад
7 лет назад
10 лет назад
10 лет назад
10 лет назад