Ответы
Ответ дал:
0
Х1 будет равно 1
Х2=4/11
У1=2
У2= здесь могла ошибиться,но вышло 4 1/11
Ответ дал:
0
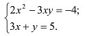
{3x+y=5⇒y=5-3x
{2x²-3xy=-4
2x²-15x+9x²+4=0
11x²-15x+4=0
D=225-176=49
x1=(15-7)/22=8/11⇒y1=5-24/11=31/11
x2=(15+7)/22=1⇒y2=5-3=2
(8/11;31/11);(1;2)
{2x²-3xy=-4
2x²-15x+9x²+4=0
11x²-15x+4=0
D=225-176=49
x1=(15-7)/22=8/11⇒y1=5-24/11=31/11
x2=(15+7)/22=1⇒y2=5-3=2
(8/11;31/11);(1;2)
Вас заинтересует
3 года назад
3 года назад
8 лет назад
8 лет назад
10 лет назад
10 лет назад