• Предмет: Алгебра
  • Автор: АЛИСЕРЕТ
  • Вопрос задан 10 лет назад

ПОМОГИТЕ ПРОШУ,ОЧЕНЬ НАДО РЕШИТЬ НЕ МОГУ
НУЖНО РЕШЕНИЯ

Приложения:

Ответы

Ответ дал: Аноним
0
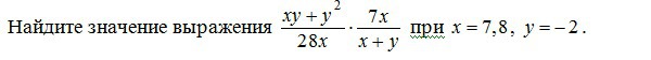
( ( xy + y^2 ) / 28x ) • ( 7x / ( x + y )) = ( y( x + y )) /28х )•( 7х/( х + y )) = 7xy / 28x = y / 4
y = - 2
- 2 / 4 = - 0,5
Ответ ( - 0,5 )
Вас заинтересует