Ответы
Ответ дал:
0
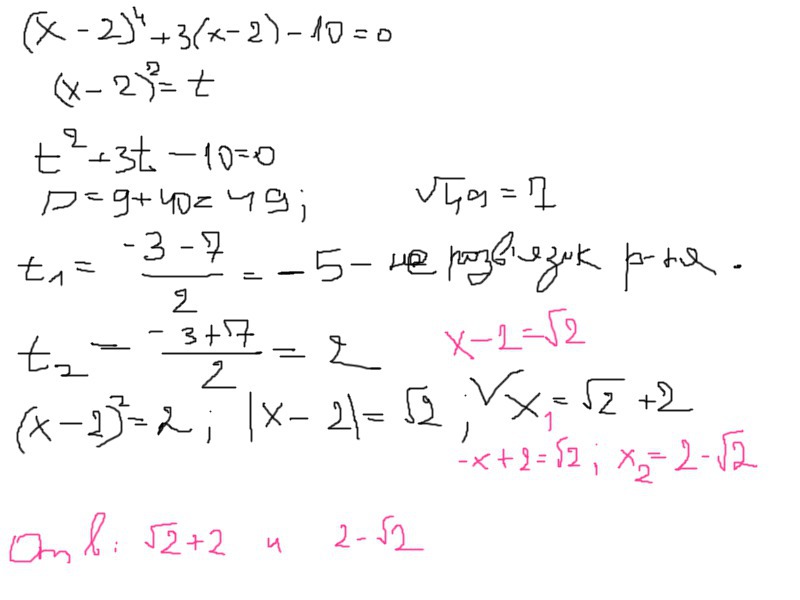
смотри картинку
__________________
__________________
Приложения:
Ответ дал:
0
Пусть (x-2)^2=t
t^2+3t-10=0
D=9-4(-10)=49=7^2
t1=-5
t2=2
Подставляем в выражение (x-2)^2
(-5-2)^2=49
(2-2)^2=0
t^2+3t-10=0
D=9-4(-10)=49=7^2
t1=-5
t2=2
Подставляем в выражение (x-2)^2
(-5-2)^2=49
(2-2)^2=0
Приложения:
Вас заинтересует
2 года назад
2 года назад
7 лет назад
10 лет назад
10 лет назад
10 лет назад