Ответы
Ответ дал:
0
если я не ошибаюсь будет так
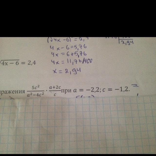
5c^2*(a+2c)/(a-2c)(a+2c)*c
сократим
5c/a-2c=5*(-1.2)/-2.2-2.4=6/4.6=3*10/23=30/23
5c^2*(a+2c)/(a-2c)(a+2c)*c
сократим
5c/a-2c=5*(-1.2)/-2.2-2.4=6/4.6=3*10/23=30/23
Вас заинтересует
2 года назад
2 года назад
7 лет назад
7 лет назад
10 лет назад
10 лет назад
10 лет назад