два велосипедиста одновременно отправились в 208-километровый пробег. первый едет со скоростью на 3км/ч больше, чем второй, и прибывает к финишу на 3 часа раньше второго. найдите скорость второго велосипедиста
Ответы
Ответ дал:
0
Ответ: скорость второго велосипедиста = 13 км/ час
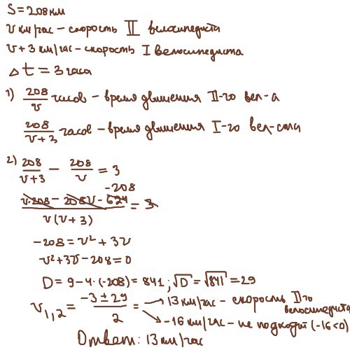
Решение на прикрепленном изображении.
Решение на прикрепленном изображении.
Приложения:
Ответ дал:
0
скорость 1 велосепидиста х затрачивает на весь путь 208/х часов
скорость второго велосепидиста х-3 затрачивает на весь путь 208/(х-3)
составим уравнение 208/х-3 - 20-/х = 3
208 х-208*(х-3)= 3х*(х-3)
3х в квадрате - 9х-208*3=0
х в квадрате-3х-208=0
через дискриминант 3 в квадрате - 4*1*(208)= 841= 29 в квадрате
х = 3 плюс минус 29 и все деленное на 2*1
х = 3+29 все деленное на 2
х= 26/2
х=13
ответ 13
скорость второго велосепидиста х-3 затрачивает на весь путь 208/(х-3)
составим уравнение 208/х-3 - 20-/х = 3
208 х-208*(х-3)= 3х*(х-3)
3х в квадрате - 9х-208*3=0
х в квадрате-3х-208=0
через дискриминант 3 в квадрате - 4*1*(208)= 841= 29 в квадрате
х = 3 плюс минус 29 и все деленное на 2*1
х = 3+29 все деленное на 2
х= 26/2
х=13
ответ 13
Приложения:
Вас заинтересует
2 года назад
7 лет назад
10 лет назад