• Предмет: Математика
  • Автор: Elik1504
  • Вопрос задан 10 лет назад

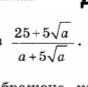
Упростить выражение на фото:

Приложения:

Ответы

Ответ дал: zhenyaM2002
0
 frac{25 +5  sqrt{a} }{a+5 sqrt{a} } =  frac{5( sqrt{a}+5) }{ sqrt{a} ( sqrt{a} +5)} =  frac{5}{ sqrt{a}}
Вас заинтересует