• Предмет: Математика
  • Автор: medion1dc2
  • Вопрос задан 10 лет назад

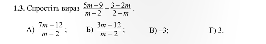
Як це розписати (що на що множити, ділити)

Приложения:

Ответы

Ответ дал: Ckraly
0
(5 m - 9)/( m-2) - (3-2 m)/(2- m)=(5m-9)/(m-2)+(3-2m)/(m-2)=(5m-9+3-2m)/(m-2)=3(m-2)/(m-2)=3. Ответ. Г.
Вас заинтересует