• Предмет: Алгебра
  • Автор: В2015
  • Вопрос задан 10 лет назад

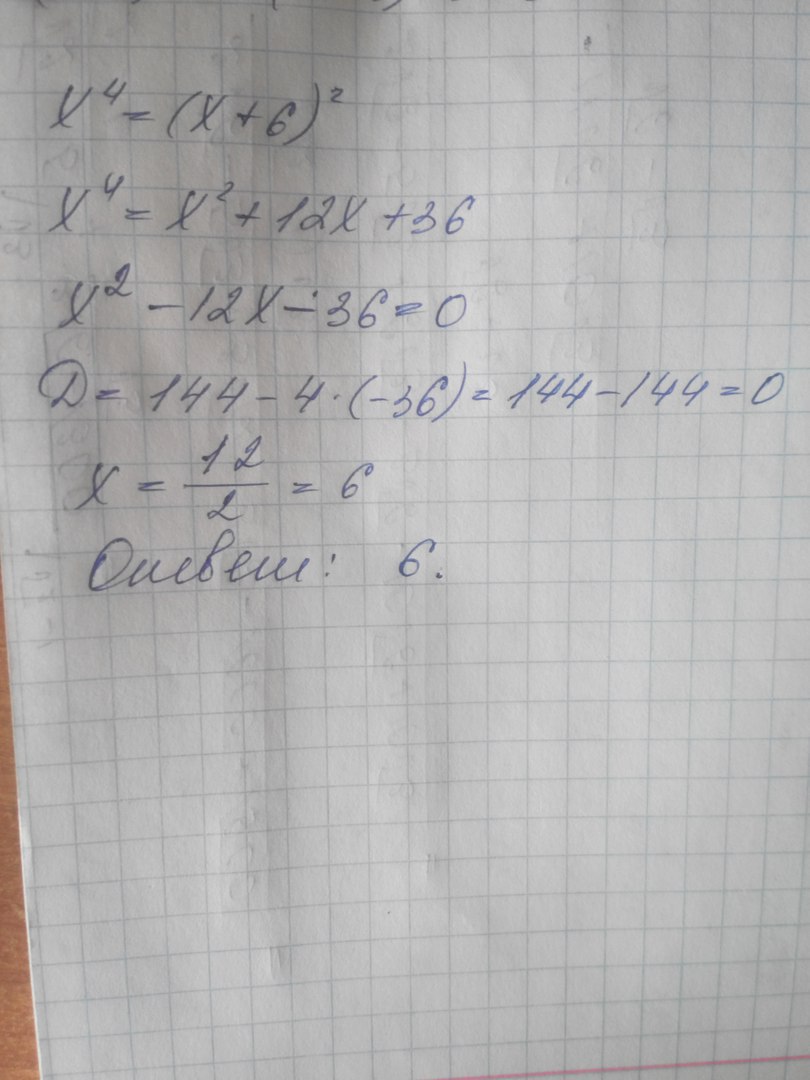
Решите уравнение:
X^4=(x+6)^2

Ответы

Ответ дал: grintsevanevant
0
......................
Приложения:
Вас заинтересует