• Предмет: Алгебра
  • Автор: Аноним
  • Вопрос задан 9 лет назад

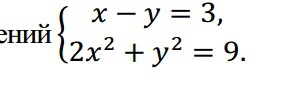
Решите пожалуйста на бумаге

Приложения:

Ответы

Ответ дал: kekker01
0
извиняюсь за камеру(((((
Приложения:
Ответ дал: Аноним
0
Спасибо
Ответ дал: Steppink98
0
решение на фото)))))))))
Приложения:
Вас заинтересует
10 лет назад