• Предмет: Алгебра
  • Автор: TheConstantin
  • Вопрос задан 10 лет назад

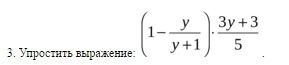
Задачка на картинке. Просто ответ не нужен, нужно решение.

Приложения:

Ответы

Ответ дал: iro4ka9876
0
Надеюсь, что помогла.
Приложения:
Ответ дал: TheConstantin
0
В любом случае спасибо)
Вас заинтересует