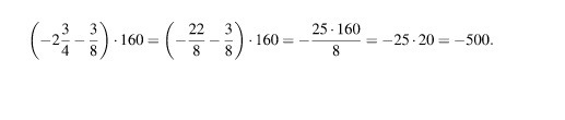
Пожалуйста, объясните, откуда здесь (во вторых скобках) появилось число 22 в числителе? как оно получилось?
Приложения:

Ответы
Ответ дал:
0
а это не ошибка?
может так (-2*4/3)^2 тогда точно выйдет 22/8
может так (-2*4/3)^2 тогда точно выйдет 22/8
Ответ дал:
0
Я взял это на сайте "решу егэ"
Вас заинтересует
2 года назад
2 года назад
7 лет назад
7 лет назад
9 лет назад