Ответы
Ответ дал:
0
,,,,,,,,,,,,,,,,,,,,,,,,,,,,,,,,,,,,,,,,,,,,,,,,,,,,(1;-2)
Приложения:

Ответ дал:
0
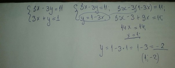
5x - 3y = 11
3x + y = 1
Решение
y = 1 - 3x
5x - 3( 1 - 3x ) = 11
5x - 3 + 9x = 11
14x = 14
x = 1
y = 1 - 3 = - 2
Ответ ( 1 ; - 2 )
3x + y = 1
Решение
y = 1 - 3x
5x - 3( 1 - 3x ) = 11
5x - 3 + 9x = 11
14x = 14
x = 1
y = 1 - 3 = - 2
Ответ ( 1 ; - 2 )
Приложения:

Вас заинтересует
2 года назад
7 лет назад
9 лет назад
9 лет назад
10 лет назад