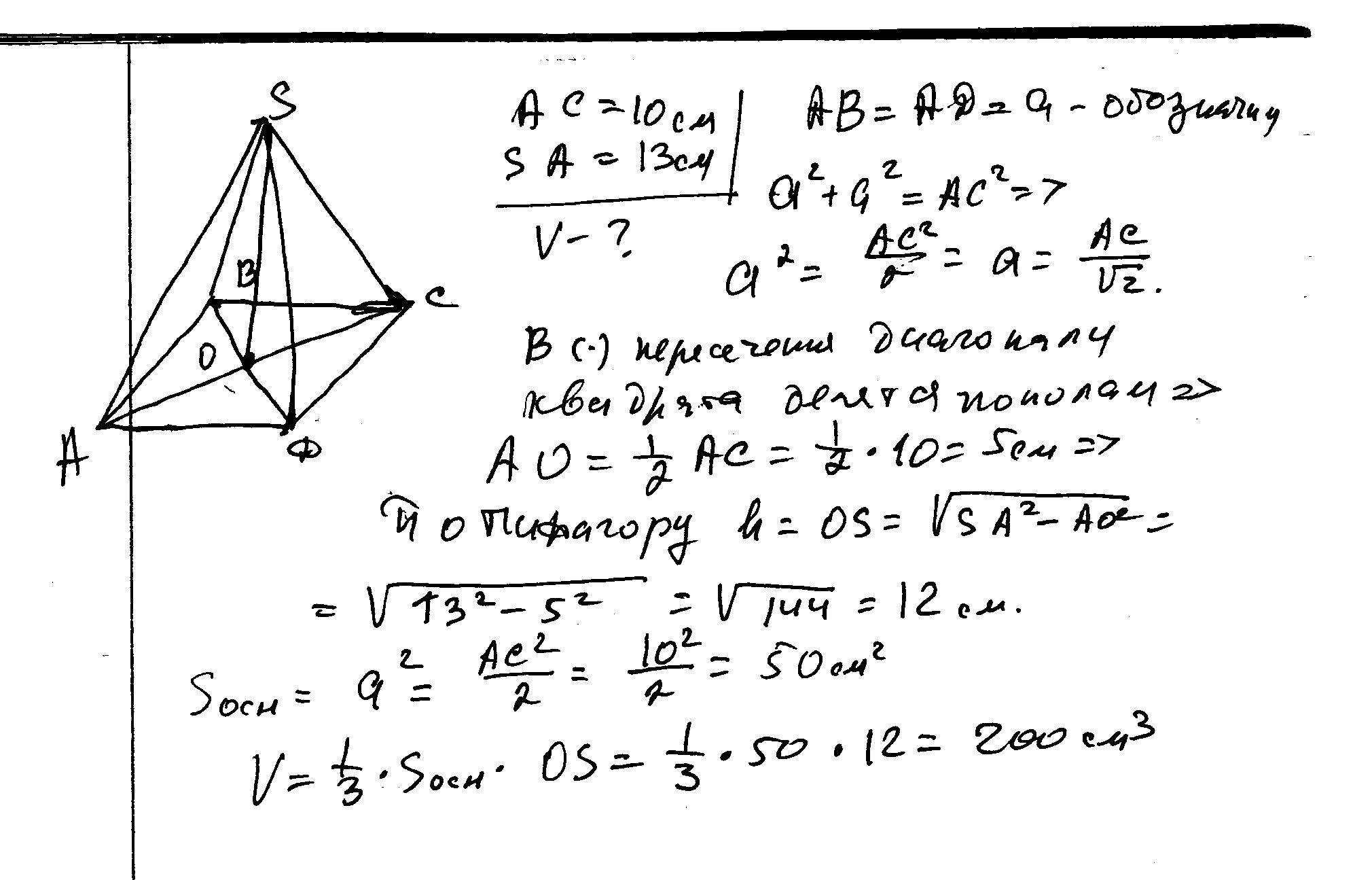
Обчисліть об'єм правильної чотирикутної піраміди, якщо діагональ основи дорівнює 10 см, а бічне ребро 13 см.
Ответы
Ответ дал:
0
решение в скане...........
Приложения:

Вас заинтересует
2 года назад
2 года назад
7 лет назад
7 лет назад
10 лет назад