• Предмет: Математика
  • Автор: medion1dc2
  • Вопрос задан 10 лет назад

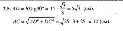
Поясніть як AD розписати за т. піфагора (як і на що під коренем множ)

Приложения:

Ответы

Ответ дал: ananstasy
0
если за теоремой Пифагора-и АD катет,то под корнем гипотенуза в квадрате(АС )-минус второй катет в квадрате(DС)
Вас заинтересует