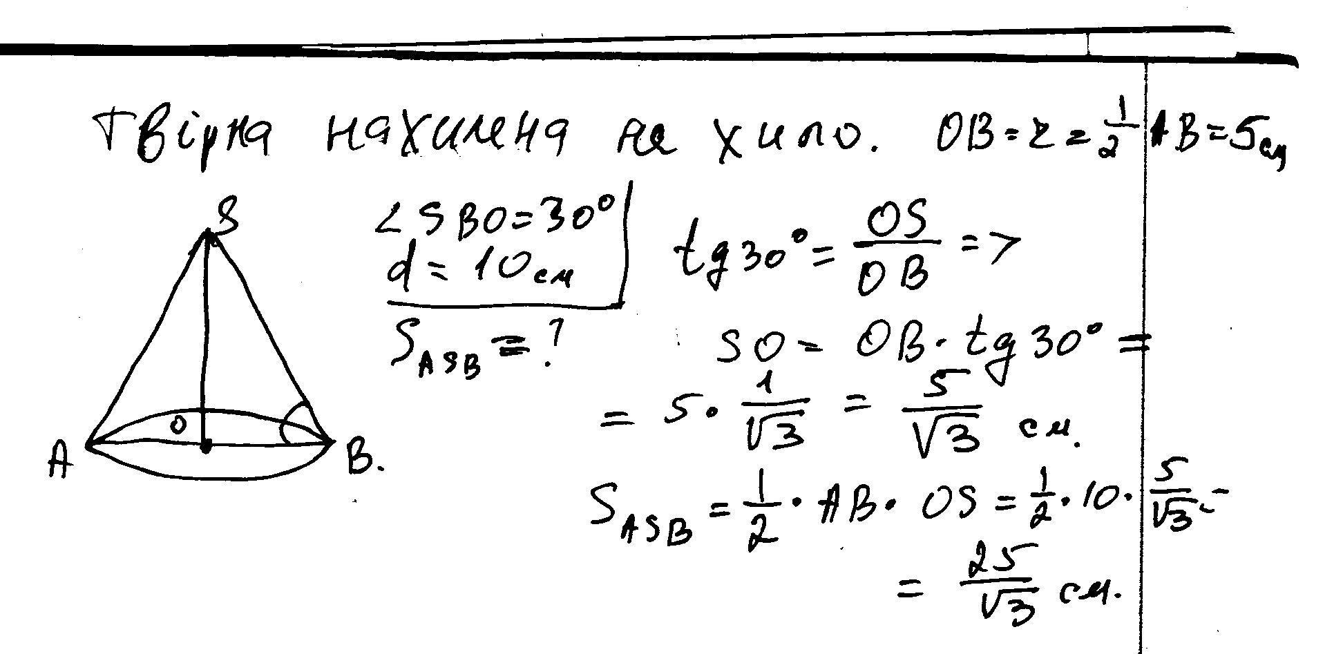
Знайти пдощу осьового перерізу конуса діамтр оснлви якого жорінює 10см а твірна нахилена до площини основи під кутом 30
Ответы
Ответ дал:
0
Решение в скане..............
Приложения:

Вас заинтересует
2 года назад
2 года назад
7 лет назад
7 лет назад
9 лет назад
9 лет назад