Ответы
Ответ дал:
0
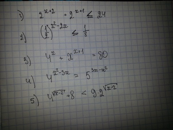
1) Выносим общий множитель 2^x+1 * (2+1) = 24; 2^x+1 = 8; x+1=3; x=2
2)x^2-2x-3>=0 Знак меняем, так как основание степени меньше 1, x1=3; x2=-1. Рисуем параболу, получаем 2 отрезка
Ответ: луч (-∞; -1) объединенный с лучом [3; +∞)
3) 2^2x + 2^x+1 - 80 = 0
Введем новую переменную 2^x=t t>0
t^2 +2t - 80 =0
t1=8 t2=-10
2^x = 8 2^x=-10 - не подходит по условию
x=3
Ответ: 3
4) Введем новую переменную x^2 - 3x = t
4^t=5^-t, так как 5^-t > 0, разделим на 5^-t
(4^t)/(5^-t)=1
Внесем все это под общую степень получится (4*5)^t=1
t=0
Ответ: 0
5)ОДЗ: x>2
Введем новую переменную 2^корень из (х-2) = t
t^2 - 9t + 8 = 0
t1=8; t2=1
2^корень из (х-2) = 8 2^корень из (х-2) =1
корень из (х-2) = 3 (x-2)=0
x-2 = 9 x=2
x=11
2)x^2-2x-3>=0 Знак меняем, так как основание степени меньше 1, x1=3; x2=-1. Рисуем параболу, получаем 2 отрезка
Ответ: луч (-∞; -1) объединенный с лучом [3; +∞)
3) 2^2x + 2^x+1 - 80 = 0
Введем новую переменную 2^x=t t>0
t^2 +2t - 80 =0
t1=8 t2=-10
2^x = 8 2^x=-10 - не подходит по условию
x=3
Ответ: 3
4) Введем новую переменную x^2 - 3x = t
4^t=5^-t, так как 5^-t > 0, разделим на 5^-t
(4^t)/(5^-t)=1
Внесем все это под общую степень получится (4*5)^t=1
t=0
Ответ: 0
5)ОДЗ: x>2
Введем новую переменную 2^корень из (х-2) = t
t^2 - 9t + 8 = 0
t1=8; t2=1
2^корень из (х-2) = 8 2^корень из (х-2) =1
корень из (х-2) = 3 (x-2)=0
x-2 = 9 x=2
x=11
Вас заинтересует
3 года назад
10 лет назад
10 лет назад
10 лет назад