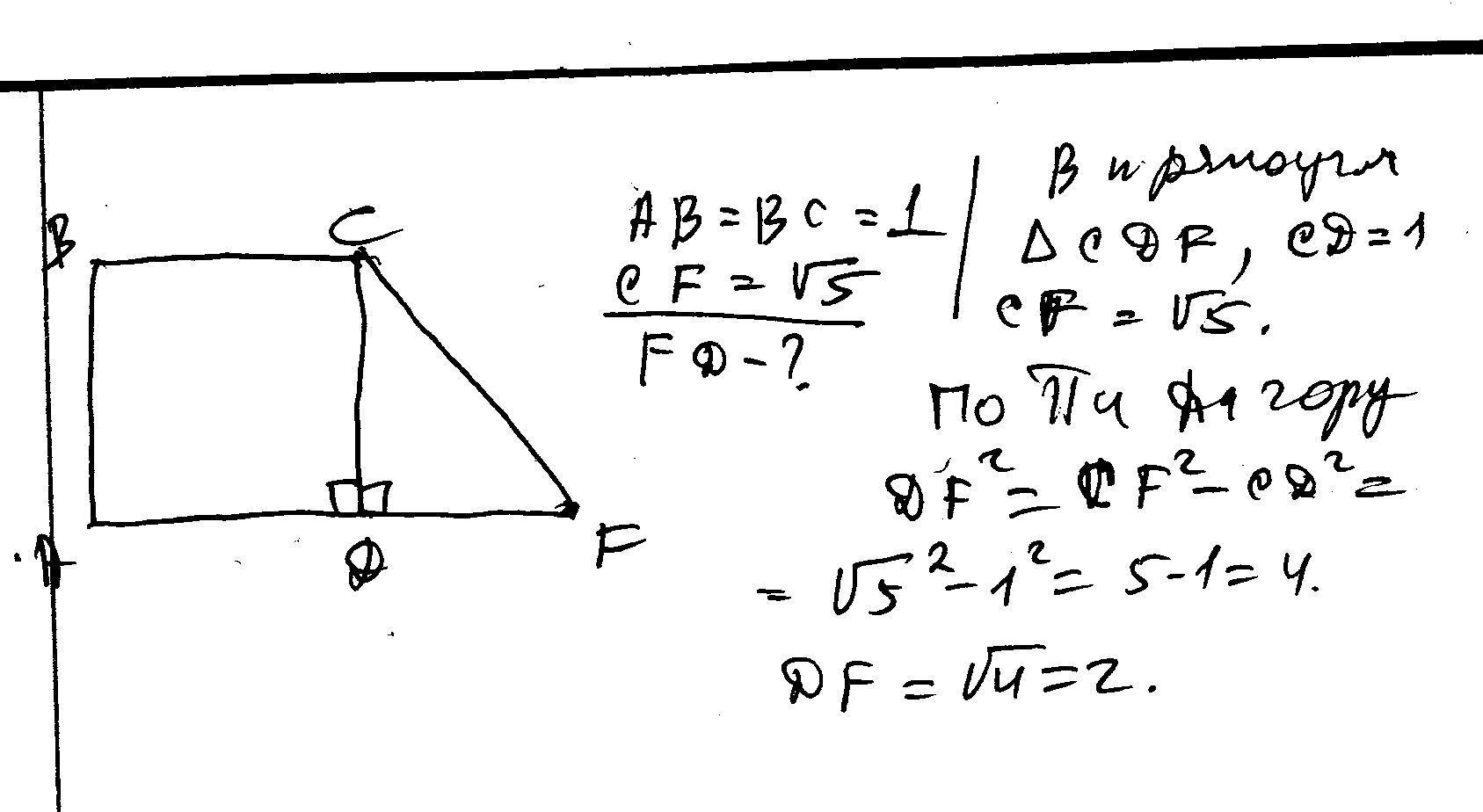
Имеем квадрат ABCD со стороной 1 и прямоугольный треугольник CDF гипотенуза CF которого равняется корень из пяти.Фигуры лежат в одной плоскости.Найдите длину катета FD треугольника CDF
СРОЧНО!!!15 баллов за решение!!!
Ответы
Ответ дал:
0
решение в скане...........
Приложения:

Вас заинтересует
2 года назад
2 года назад
7 лет назад
9 лет назад
10 лет назад