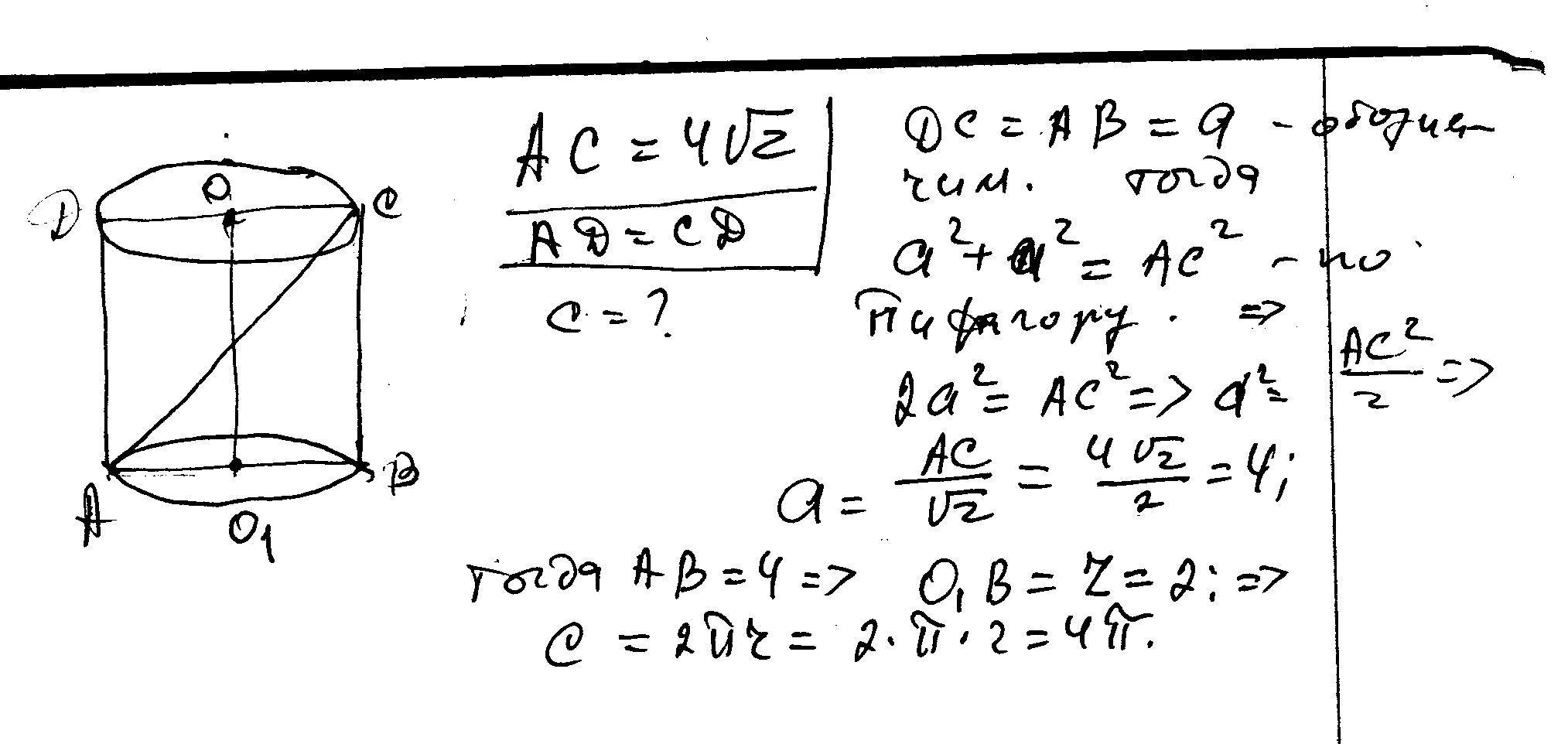
Осьовим перерiзом цилiндра е квадрат дiагональ якого дорiвнюе 4√2 см.
Обчислити довжину основи цилiндра
Ответы
Ответ дал:
0
решение в скане.......
Приложения:

Вас заинтересует
2 года назад
7 лет назад
9 лет назад
9 лет назад
10 лет назад