Срочно и с рисунком, сейчас надо!
Дам 30 балов за лучшее решение !
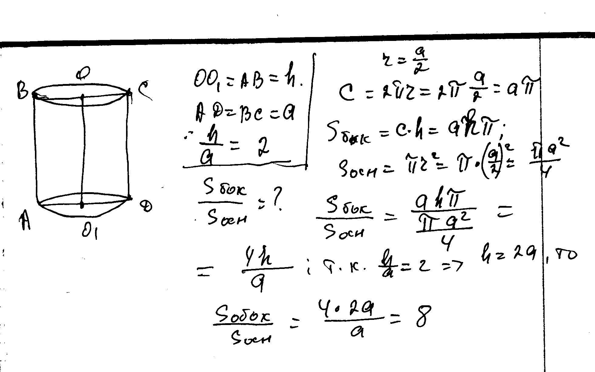
в цилиндре отношение высоты к радиусу основания равно 2. найти отношение площади боковой поверхности к площади основания
Ответы
Ответ дал:
0
решение в скане......
Приложения:

Вас заинтересует
2 года назад
2 года назад
7 лет назад
9 лет назад
10 лет назад
10 лет назад