• Предмет: Алгебра
  • Автор: GambiTyNya
  • Вопрос задан 10 лет назад

Решите пожалуйста. Алгебра 10 класс

Приложения:

Ответы

Ответ дал: okneret
0
Применена формула половинного угла синуса, формула сложения, определение модуля, правила действий с неравенствами
Приложения:
Ответ дал: NNNLLL54
0
При извлечении второго корня забыли модуль поставить и доказать , что выражение под знаком модуля положительное.
Ответ дал: okneret
0
Согласна. Сейчас исправлю
Ответ дал: NNNLLL54
0
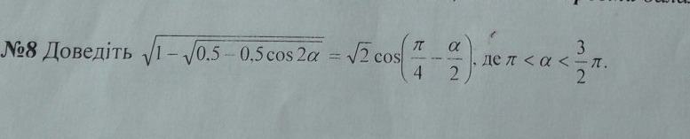
 sqrt{ 1-sqrt{0,5-0,5cos2a} } =sqrt{1-sqrt{frac{1-cos2a}{2}}}=sqrt{1-sqrt{sin^2a}}=\\=sqrt{1-|sina|}=[pi  textless  a textless  frac{3pi}{2}; to ; sina textless  0; to |sina|=-sina, ]=\\=sqrt{1+sina}=sqrt{1+cos(frac{pi}{2}-a)}=\\=[, cos^2x=frac{1+cos2x}{2}; to ; ; 1+cos2x=2cos^2x; ]=\\=sqrt{2cos^2frac{frac{pi}{2}-a}{2}}=sqrt{2cos^2(frac{pi}{4}-frac{a}{2})}=sqrt2cdot |cos(frac{pi}{4}-frac{a}{2})|=

=[, pi  textless  a textless  frac{3pi}{2}; to ; -frac{pi}{2} textless  frac{pi}{4}-frac{a}{2} textless  -frac{pi}{4},

cos(frac{pi}{4}-frac{a}{2})| textgreater  0, ]=sqrt2cos(frac{pi}{4}-frac{a}{2})

Приложения:
Вас заинтересует