• Предмет: Алгебра
  • Автор: galinacyzz
  • Вопрос задан 10 лет назад

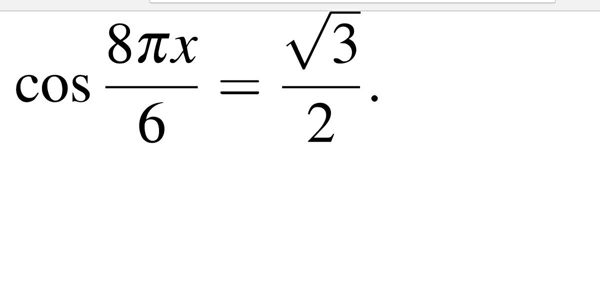
найдите корни уравнения

Приложения:

Ответы

Ответ дал: zews1065
0
8пх/6=п/6
х=1/8+2п
вроде так.

Ответ дал: galinacyzz
0
Неправильно, потому что такое в бланк ответов на егэ не запишешь. Там должно быть целое или дробное число без пи.
Ответ дал: zews1065
0
тогда 1/8
Вас заинтересует