Помогите пожалуйста. 20 баллов даю.
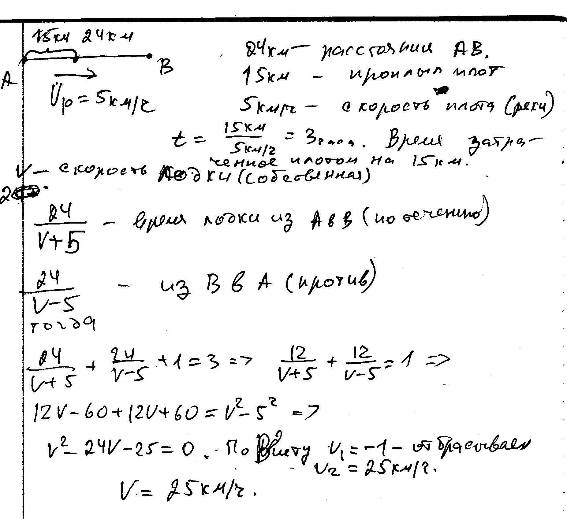
Расстояние между пристанями A и B равно 24 км. Из A в B по течению реки отправился плот, а через час вслед за ним отправилась моторная лодка, которая,
прибыв в пункт B, тотчас повернула обратно и возвратилась в A. К этому времени плот прошёл15 км. Найдите скорость лодки в неподвижной воде, если скорость течения реки равна 5 км/ч.
Ответы
Ответ дал:
0
забыл про задачку. Извините.....
Приложения:

Вас заинтересует
2 года назад
2 года назад
7 лет назад
9 лет назад
10 лет назад