Ответы
Ответ дал:
0
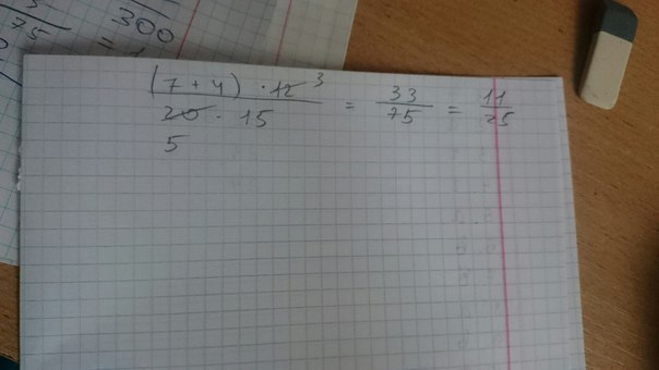
это делить на 20*15???
Приложения:

Ответ дал:
0
Нет тип это дробь
Ответ дал:
0
если да, то 11/25
Ответ дал:
0
держи)
Ответ дал:
0
Спасибо
Вас заинтересует
2 года назад
2 года назад
7 лет назад
9 лет назад
9 лет назад
10 лет назад
10 лет назад